kunio.lol
Home
Studenci
Filmy
Mama
Narzędzia
▼
Skróć link
Chmura
Studia
▼
Semestr 7
▶
Oceny 7sem
Paczka
MiSSE: Lab1
MiSSE: Lab2
MiSSE: Lab3
MiSSE: Lab5
Semestr 3
▶
AKiSO: Kalkulator
AKiSO: Lab 5
PT: Wejściówka
PT: Lab 6
Semestr 2
▶
OiS: Test 6
OiS: Test 12
Zaloguj
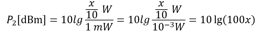
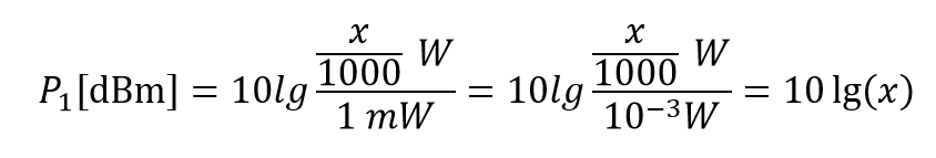
Wejściówka Podstawy Telekomunikacji
Wprowadź wartość x:
Oblicz
Wyniki: